
La energía es la capacidad de una fuerza de generar una acción o un trabajo. Toda fuerza que realiza un trabajo sobre un objeto provocará un cambio de energía en él.
Existe un principio fundamental en física que se conoce como el principio de conservación de la energía, que establece que la energía no puede crearse ni destruirse, sino que solo puede transformarse. Por ejemplo, un objeto que cae de cierta altura con una velocidad inicial igual a cero, transforma toda su energía potencial gravitatoria en energía cinética a medida que va ganando velocidad al acercarse al piso. El principio de conservación de la energía rige absolutamente todos los fenómenos físicos, desde la caída de un objeto hasta la formación de una estrella.
Tipos de energía
Energía eléctrica. Es la energía que existe en presencia de partículas cargadas eléctricamente. El tipo de partículas más común es el electrón, que produce a su alrededor un potencial eléctrico. Cuando otros electrones se mueven a través de este potencial, adquieren energía eléctrica. Lo que conocemos como corriente eléctrica es una gran cantidad de electrones moviéndose a través de una diferencia de potencial.
Energía potencial. Es la energía contenida en un sistema físico o en un objeto y que puede luego transformarse en otras formas de energía (como cinética, calórica, etc). Es energía “en potencia”.
Energía magnética. Es la energía que generan las corrientes eléctricas y los materiales magnetizados (imanes).
Energía potencial gravitatoria: Un cuerpo que se encuentra a cierta altura del piso, por ejemplo, tendrá energía potencial gravitatoria con respecto a éste. Tal energía está relacionada directamente con la atracción gravitatoria del planeta Tierra, es decir, con la fuerza peso.
Cuando los cuerpos son elevados en contra del campo gravitatorio, almacenan una cantidad de energía que es directamente proporcional a su masa y a la altura a la que es elevado, la proporcionalidad se transforma en igualdad cuando lo multiplicamos por la aceleración de la gravedad.
La energía potencial gravitatoria de un cuerpo puede calcularse si se conoce su peso y la altura a la que se encuentra (con respecto a un nivel elegido):
Eg =P.h= m.g.h
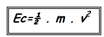
Energía cinética: Cuando un cuerpo está en movimiento, posee energía. La energía cinética de un cuerpo depende de su masa y su rapidez. No es lo mismo chocar contra un camión a 50 km/h que contra una bicicleta a la misma velocidad.
Energía cinética. Es la energía que poseen los cuerpos que están en movimiento, que tienen una velocidad. Si un objeto está quieto, su energía cinética es nula.
La energía cinética subyace en distintas fuentes de energía como el movimiento aleatorio de las moléculas, el sonido que consiste en vibraciones rítmicas de las moléculas del aire, la luz que surge del movimiento de electrones en el interior de los átomos, etc
Existe una expresión sencilla que nos permite calcular la energía cinética de un cuerpo de masa m que se mueve con velocidad v:

Energía mecánica: Un cuerpo puede tener simultáneamente más de un tipo de energía. Por ejemplo, un chico que se lanza por un tobogán en cualquier momento de su caída tiene a la vez energía potencial (por hallarse a cierta altura con respecto del
piso) y energía cinética (por hallarse en movimiento). Se llama energía mecánica (Em) a la suma de la energía cinética y potencial que tiene un cuerpo . 
En general, todas las energías pueden considerarse básicamente como una combinación de energías potenciales y/o energía cinética.
Energía eólica. Es la energía producida por el empuje del viento.
Energía solar. Es la energía que emite el Sol en forma de radiación calórica y lumínica a través del espacio hacia los planetas del Sistema Solar.
Energía atómica o nuclear. Es la energía que proviene de las fuerzas que mantienen unidas a las partículas subatómicas: las fuerzas nucleares fuertes y débiles. También se llama así a la energía eléctrica obtenida del calor liberado por las reacciones de fusión o fisión atómica en una central nuclear.
Energía química. Es la energía que interviene en las uniones atómicas y las reacciones a nivel molecular, indispensable para la vida, ya que mantiene en marcha el metabolismo de los seres vivos.
Energía calórica o térmica. Es la energía que se da con transferencias de energía causadas por las diferencias de temperatura. La temperatura, a su vez, es una medida de la energía cinética de las moléculas que componen un cuerpo.
Energía hidráulica. Es la energía que se obtiene del movimiento de grandes masas de agua, como pueden ser ríos, mareas o caídas de agua. Las represas eléctricas funcionan con energía hidráulica.
Energía luminosa. Es la energía electromagnética producida por ondas electromagnéticas en el rango visible (es decir, la luz).
Energía sonora. Es la energía que producen las ondas del sonido.
Las relaciones entre materia y energía son objeto de estudio de los físicos desde hace siglos. Sabemos que un cambio en los niveles energéticos de la materia inciden en su forma y su estado de agregación, cosa que comprobamos desde que aprendimos al fundir los metales.
Posteriormente, el conocimiento de la química nos otorgó un entendimiento mucho mayor de cómo transformar la materia: ya no cambiar la configuración de sus partículas, sino romper los nexos entre los átomos y obtener sustancias diferentes.