Saltar la navegación

Ejemplo 3

Ejemplo 3

Ejemplo 3

Resolución

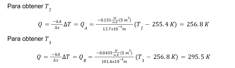
Temperaturas intermedias T2, T3

Creado con eXeLearning (Ventana nueva)