Ejemplo 1
Problema 1
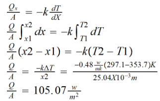
Calcule la pérdida de calor por m2 de una superficie de una pared de 25.4 mm de espesor cuya T interior es de 352.7 K y exterior es de 297.1 K, con una conductividad de 0.048 W/mK.

Problema 1
Calcule la pérdida de calor por m2 de una superficie de una pared de 25.4 mm de espesor cuya T interior es de 352.7 K y exterior es de 297.1 K, con una conductividad de 0.048 W/mK.

Obra publicada con Licencia Creative Commons Reconocimiento Compartir igual 4.0